PUENTE DE SCHERING
Es uno de los puentes AC más importantes, es usado para la medición de capacitores aunque también es muy útil para la medición de algunas propiedades de aislamiento, como ángulos de fase muy cercanos a los 90º.
APLICACIÓN
Mientras que los puentes de Maxwell-Wien, Owen y Hay se emplean para medir inductores, los puentes de Wien y Schering se emplean para medir condensadores. El puente de Schering se emplea sobre todo para medir la fuga en condensadores de alta Tensión.
Para medir capacitores en circuitos donde el ángulo de fase es casi de 90º, el puente de Schering da las lecturas más exactas.
CIRCUITO ELÉCTRICO
FUNCIONAMIENTO
Este tipo de puente tiene la particularidad de medir las fugas de los capacitores en alta tensión, Si queremos obtener información mas precisa sobre la fuga de condensadores, el puente Schering Es el mas indicado debido a que en el Angulo de fase este por encima de 90grados
Sea el circuito mostrado en la siguiente figura:
Para un equilibrio perfecto en este puente, se debe tener en cuenta
Que los nodos A,B,C,D sean efectivamente iguales; es decir, Vab es igual a Vac o Vdb es igual a Vdc y viceversa.
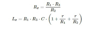
ECUACIONES MATEMÁTICAS
Las ecuaciones de equilibrio se dan de la misma forma que en otros puentes AC, La ecuación de equilibrio del puente de Schering

El puente de Schering permite la medida precisa del factor de disipación,
ω⋅Cx⋅Rx.
ω⋅Cx⋅Rx.
Este puente también se emplea para la medida de los ángulos de pérdida de aislantes y cables para alta tensión. Para realizar esta medida, el nudo que une las ramas donde se encuentran las resistencias R2 y R3 se conecta a tierra.
La deducción de la ecuación de equilibrio del puente de Schering se lleva acabo aplicando el razonamiento expuesto para la deducción de la ecuación de equilibrio del puente de impedancias, esto
es Z1Z2=ZxZ3 con Z1=1j⋅ω⋅C1, Z2=R21+j⋅ω⋅R2⋅C2
(impedancia equivalente en paralelo de la resistencia R2 y el condensador C2),
Z3=R3 y Zx=Rx+1j⋅ω⋅Cx
(impedancia equivalente en paralelo de la resistencia R2 y el condensador C2),
Z3=R3 y Zx=Rx+1j⋅ω⋅Cx
Sustituyendo
1j⋅ω⋅C1R21+j⋅ω⋅R2⋅C2=Rx+1j⋅ω⋅CxR3
Reordenando
1+j⋅ω⋅R2⋅C2j⋅ω⋅R2⋅C1⋅R3=Rx+1j⋅ω⋅Cx
Igualando partes reales e imaginarias se obtiene el valor de Rx y Cx
Rx=R3⋅C2C1Cx=R2⋅C1R3













